

علم الكيمياء

تاريخ الكيمياء والعلماء المشاهير

التحاضير والتجارب الكيميائية

المخاطر والوقاية في الكيمياء

اخرى

مقالات متنوعة في علم الكيمياء

كيمياء عامة


الكيمياء التحليلية

مواضيع عامة في الكيمياء التحليلية

التحليل النوعي والكمي

التحليل الآلي (الطيفي)

طرق الفصل والتنقية


الكيمياء الحياتية

مواضيع عامة في الكيمياء الحياتية

الكاربوهيدرات

الاحماض الامينية والبروتينات

الانزيمات

الدهون

الاحماض النووية

الفيتامينات والمرافقات الانزيمية

الهرمونات


الكيمياء العضوية

مواضيع عامة في الكيمياء العضوية

الهايدروكاربونات

المركبات الوسطية وميكانيكيات التفاعلات العضوية

التشخيص العضوي

تجارب وتفاعلات في الكيمياء العضوية


الكيمياء الفيزيائية

مواضيع عامة في الكيمياء الفيزيائية

الكيمياء الحرارية

حركية التفاعلات الكيميائية

الكيمياء الكهربائية


الكيمياء اللاعضوية

مواضيع عامة في الكيمياء اللاعضوية

الجدول الدوري وخواص العناصر

نظريات التآصر الكيميائي

كيمياء العناصر الانتقالية ومركباتها المعقدة


مواضيع اخرى في الكيمياء

كيمياء النانو

الكيمياء السريرية

الكيمياء الطبية والدوائية

كيمياء الاغذية والنواتج الطبيعية

الكيمياء الجنائية


الكيمياء الصناعية

البترو كيمياويات

الكيمياء الخضراء

كيمياء البيئة

كيمياء البوليمرات

مواضيع عامة في الكيمياء الصناعية

الكيمياء التناسقية

الكيمياء الاشعاعية والنووية
تسمية البوليمرات التكثيفية
المؤلف:
د. عمر بن عبدالله الهزازي
المصدر:
كيمياء البوليمرات
الجزء والصفحة:
ص 53
15-10-2017
772
تسمية البوليمرات التكثيفية
Nomenclature of Condensation Polymers
أولاً:
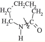
يمكن تسمية البوليمرات التكثيفية وكأنها تكونت من انفتاح بعض التراكيب الحلقية المتكونة من المونومر او المونومرات المكونة للبوليمر. ومن الأمثلة على ذلك البوليمر ذو التركيب التالي:
بولي (ε– كابرو لاكتام).
Poly -ε - caprolactam
فعند تسمية هذا البوليمر يفترض بأنه ناتج من انفتاح الجزيء الحلقي التالي:
ε – كابرولاكتام - caprolactam ε وكذلك بالنسبة لتسمية البوليمر ذو التركيب:
بولي (تيرفثالات الإيثيلين). (ethylene terphthalate)Poly
حيث يفترض عند التسمية بأن البوليمر تكون من انتفاح الاستر الحلقي (اللاكتون) ذو التركيب الآتي:
تيرفثالات الإيثيلين ethylene terphthalate
ثانياً :
تسمى بعض البوليمرات التكثيفية الناتجة عن تكثيف مونومرين او اكثر بذكر اسم المونومرات بعد كلمة (بولي) وبينهما المقطع كو – (co-) كما في المثال التالي:
بولي (هكسا ميثيلين ثنائي أمين) – مشترك – أديبيل كلورايد
Poly (hexamethylenediamine) – co - adipylchloride
صفحة 56
الاكثر قراءة في كيمياء البوليمرات
اخر الاخبار
اخبار العتبة العباسية المقدسة
الآخبار الصحية

قسم الشؤون الفكرية يصدر كتاباً يوثق تاريخ السدانة في العتبة العباسية المقدسة
"المهمة".. إصدار قصصي يوثّق القصص الفائزة في مسابقة فتوى الدفاع المقدسة للقصة القصيرة
(نوافذ).. إصدار أدبي يوثق القصص الفائزة في مسابقة الإمام العسكري (عليه السلام)