Boundary conditions on the electric field
المؤلف:
Richard Fitzpatrick
المصدر:
Classical Electromagnetism
الجزء والصفحة:
p 159
4-1-2017
3190
Boundary conditions on the electric field
What are the most general boundary conditions satisfied by the electric field at the interface between two mediums; e.g., the interface between a vacuum and a conductor? Consider an interface P between two mediums A and B. Let us, first

of all, integrate Gauss' law,
(1.1)
over a Gaussian pill-box S of cross-sectional area A whose two ends are locally parallel to the interface. The ends of the box can be made arbitrarily close together. In this limit, the flux of the electric field out of the sides of the box is obviously negligible. The only contribution to the flux comes from the two ends. In fact
(1.2)
where E┴A is the perpendicular (to the interface) electric field in medium A at the interface, etc. The charge enclosed by the pill-box is simply σ A, where σ is the sheet charge density on the interface. Note that any volume distribution of charge gives rise to a negligible contribution to the right-hand side of the above equation in the limit where the two ends of the pill-box are very closely spaced. Thus, Gauss' law yields
(1.3)
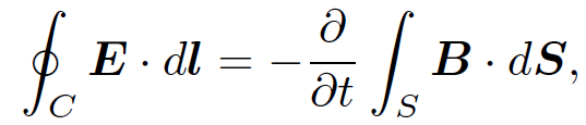
at the interface; i.e., the presence of a charge sheet on an interface causes a discontinuity in the perpendicular component of the electric field. What about the parallel electric field? Let us integrate Faraday's law,
(1.4)
around a rectangular loop C whose long sides, length l, run parallel to the interface. The length of the short sides is assumed to be arbitrarily small. The dominant contribution to the loop integral comes from the long sides:
(1.5)
where E║A is the parallel (to the interface) electric field in medium A at the interface, etc. The flux of the magnetic field through the loop is approximately B┴ A, where B┴ is the component of the magnetic field which is normal to the loop, and A is the area of the loop. But, A → 0 as the short sides of the loop are shrunk to zero so, unless the magnetic field becomes infinite (we assume that it does not), the flux also tends to zero. Thus,
(1.6)
i.e., there can be no discontinuity in the parallel component of the electric field across an interface.
الاكثر قراءة في الكهربائية
اخر الاخبار
اخبار العتبة العباسية المقدسة