
تاريخ الفيزياء

علماء الفيزياء


الفيزياء الكلاسيكية

الميكانيك

الديناميكا الحرارية


الكهربائية والمغناطيسية

الكهربائية

المغناطيسية

الكهرومغناطيسية


علم البصريات

تاريخ علم البصريات

الضوء

مواضيع عامة في علم البصريات

الصوت


الفيزياء الحديثة


النظرية النسبية

النظرية النسبية الخاصة

النظرية النسبية العامة

مواضيع عامة في النظرية النسبية

ميكانيكا الكم

الفيزياء الذرية

الفيزياء الجزيئية


الفيزياء النووية

مواضيع عامة في الفيزياء النووية

النشاط الاشعاعي


فيزياء الحالة الصلبة

الموصلات

أشباه الموصلات

العوازل

مواضيع عامة في الفيزياء الصلبة

فيزياء الجوامد


الليزر

أنواع الليزر

بعض تطبيقات الليزر

مواضيع عامة في الليزر


علم الفلك

تاريخ وعلماء علم الفلك

الثقوب السوداء


المجموعة الشمسية

الشمس

كوكب عطارد

كوكب الزهرة

كوكب الأرض

كوكب المريخ

كوكب المشتري

كوكب زحل

كوكب أورانوس

كوكب نبتون

كوكب بلوتو

القمر

كواكب ومواضيع اخرى

مواضيع عامة في علم الفلك

النجوم

البلازما

الألكترونيات

خواص المادة


الطاقة البديلة

الطاقة الشمسية

مواضيع عامة في الطاقة البديلة

المد والجزر

فيزياء الجسيمات


الفيزياء والعلوم الأخرى

الفيزياء الكيميائية

الفيزياء الرياضية

الفيزياء الحيوية

الفيزياء العامة


مواضيع عامة في الفيزياء

تجارب فيزيائية

مصطلحات وتعاريف فيزيائية

وحدات القياس الفيزيائية

طرائف الفيزياء

مواضيع اخرى
دائرة كهربائية تحتوي على مقاومة و ملف و مكثف
المؤلف:
وفاء السواح
المصدر:
أساسيات الكهربائية التيارية
الجزء والصفحة:
17-7-2016
12348
دائرة كهربائية تحتوي على مقاومة و ملف و مكثف
يبين الشكل الآتي دائرة كهربية تتكون من مقاومة R و ملف معامل حثه الذاتي L و مكثف سعته C متصلين على التوالي مع مصدر جهد متردد.

تعتبر هذه الدائرة حالة عامة للحالتين السابقتين.
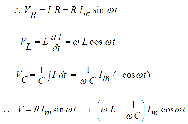
التيار المار في هذه الدائرة يكون على الصورة
I = Im sin ω t (1)
بتطبيق قانون كيرشوف على هذه الدائرة نجد ان
V = VR + VL + VC (2)
(3)
و هذه المعادلة لها الصورة العامة
(4)
و من حساب المثلثات تأخذ المعادلة السابقة الصورة
(5)
و بمقارنة هذه المعادلة و المعادلة (3) نجد أن
(6)

و التي من خلالها يمكن رسم المثلث

من هذا المثلث نجد أن

و بالتعويض بهذه القيمة في المعادلة (6) نحصل على

و بالتعويض عن قيمة كل من A و θ في المعادلة (4) نحصل على
(7)
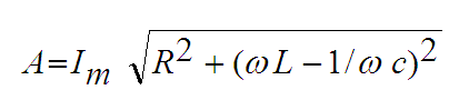
و من هذه المعادلة نلاحظ أن
1- المقدار
يمثل الممانعة الكلية لهذه الدائرة.
2- اذا كان ω L > 1/ ω C يكون تأثير الملف اكبر من تأثير المكثف و يقال في هذه الحالة ان الدائرة حثية و تكون زاوية الطور موجبة و في هذه الحالة يتقدم الجهد على التيار.
3- أما اذا كان ω L < 1/ ω C فأن الدائرة تكون سعوية و تكون زاوية الطور سالبة و في هذه الحالة يتقدم التيار على الجهد.
4- تكون ممانعة الدائرة أقل ما يمكن عندما يصبح المقدار ωL - 1/ ωC)) مساويا للصفر، أي عندما يتساوى فرق الجهد على الملف مع فرق الجهد على المكثف و يقال في هذه الحالة أن الدائرة في حالة رنين. و يكون شرط الرنين هو

و في هذه الحالة تكون ممانعة الدائرة هي المقاومة الأومية للدائرة.
الاكثر قراءة في الكهربائية
اخر الاخبار
اخبار العتبة العباسية المقدسة
الآخبار الصحية

قسم الشؤون الفكرية يصدر كتاباً يوثق تاريخ السدانة في العتبة العباسية المقدسة
"المهمة".. إصدار قصصي يوثّق القصص الفائزة في مسابقة فتوى الدفاع المقدسة للقصة القصيرة
(نوافذ).. إصدار أدبي يوثق القصص الفائزة في مسابقة الإمام العسكري (عليه السلام)