دائرة كهربائية تحتوي على مقاومة و مكثف
المؤلف:
وفاء السواح
المصدر:
أساسيات الكهربائية التيارية
الجزء والصفحة:
.....
17-7-2016
3251
دائرة كهربائية تحتوي على مقاومة و مكثف
سوف نستبدل في هذه الحالة الملف الموجود في الحالة السابقة بمكثف سعته C. و بذلك يكون شكل الدائرة الكهربية كما بالرسم.

اذا كان التيار المار في هذه الدائرة يعطى من العلاقة
I = Im sin ω t (1)
بتطبيق قانون كيرشوف على هذه الدائرة نجد ان
V = VR + VC (2)
(3)
(4)
و العلاقة السابقة يمكن أن تكتب على الصورة العامة
(5)
و من حساب المثلثات نجد أن
(5)
و بمقارنة هذه المعادلة بالمعادلة (4) نحصل على
(6)

و التي يمكن تمثيلها من خلال المثلث الآتي

و من هذا المثلث نجد أن

و بالتعويض في المعادلة (6) نحصل على

و بالتعويض عن قيمة كل من A و θ في المعادلة (5) نحصل على
(7)
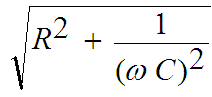
و بمقارنة هذه المعادلة و المعادلة (1) نجد أن التيار يسبق الجهد بزاوية مقدارها θ أو أن الجهد يتأخر عن التيار بهذه الزاوية. كما أن المقدار
يمثل الممانعة الكلية لهذه الدائرة.
ما شكل زاوية فرق الطور و الممانعة الكلية عندما
1- C ω R >> 1/
2- Cω R << 1/
الاكثر قراءة في الكهربائية
اخر الاخبار
اخبار العتبة العباسية المقدسة