
تاريخ الفيزياء

علماء الفيزياء


الفيزياء الكلاسيكية

الميكانيك

الديناميكا الحرارية


الكهربائية والمغناطيسية

الكهربائية

المغناطيسية

الكهرومغناطيسية


علم البصريات

تاريخ علم البصريات

الضوء

مواضيع عامة في علم البصريات

الصوت


الفيزياء الحديثة


النظرية النسبية

النظرية النسبية الخاصة

النظرية النسبية العامة

مواضيع عامة في النظرية النسبية

ميكانيكا الكم

الفيزياء الذرية

الفيزياء الجزيئية


الفيزياء النووية

مواضيع عامة في الفيزياء النووية

النشاط الاشعاعي


فيزياء الحالة الصلبة

الموصلات

أشباه الموصلات

العوازل

مواضيع عامة في الفيزياء الصلبة

فيزياء الجوامد


الليزر

أنواع الليزر

بعض تطبيقات الليزر

مواضيع عامة في الليزر


علم الفلك

تاريخ وعلماء علم الفلك

الثقوب السوداء


المجموعة الشمسية

الشمس

كوكب عطارد

كوكب الزهرة

كوكب الأرض

كوكب المريخ

كوكب المشتري

كوكب زحل

كوكب أورانوس

كوكب نبتون

كوكب بلوتو

القمر

كواكب ومواضيع اخرى

مواضيع عامة في علم الفلك

النجوم

البلازما

الألكترونيات

خواص المادة


الطاقة البديلة

الطاقة الشمسية

مواضيع عامة في الطاقة البديلة

المد والجزر

فيزياء الجسيمات


الفيزياء والعلوم الأخرى

الفيزياء الكيميائية

الفيزياء الرياضية

الفيزياء الحيوية

الفيزياء والفلسفة

الفيزياء العامة


مواضيع عامة في الفيزياء

تجارب فيزيائية

مصطلحات وتعاريف فيزيائية

وحدات القياس الفيزيائية

طرائف الفيزياء

مواضيع اخرى
الموجات التضاغطية المستقرة على زنبرك
المؤلف:
فريدريك بوش ، دافيد جيرد
المصدر:
اساسيات الفيزياء
الجزء والصفحة:
ص 528
12-7-2016
4771
الموجات التضاغطية المستقرة على زنبرك
هناك سمات مشتركة كثيرة بين الموجة الطويلة على زنبرك والموجة المستعرضة على وتر. فإذا أرسلت موجة طويلة لتتحرك على زنبرك فإن الموجة وطاقتها تنعكسان دائماً عند وصول الموجة إلى طرف الزنبرك ، وهذه الموجة المنعكسة يمكنها أن تتداخل مع الموجبات التي يرسلها المصدر في لحظات تالية. فإذا تحققت العلاقة المناسبة بين تردد المصدر ومختلف ثوابت الزنبرك سوف يحدث الرنين .
كما في حالة رنين الأوتار ، توجد دائماً عقدة بالقرب من المصدر الحافز في نظام الزنبرك لأن الزنبرك يتحرك في حالة الرنين حركة أكبر كثيراً من المصدر. وأيضاً إذا كان الطرف الآخر للزنبرك مثبتاً تثبيتاً جيداً يمنعه من الحركة ، فإن هذا الطرف سيكون عقدة كذلك ؛ وتمثل الحركة الرنينية للزنبرك عندئذ بالمنحنيات الموضحة بالشكل 1)). تذكر أن هذه المنحنيات لا توضح الشكل الحقيقي للموجة الطولية على الزنبرك. (وعلى العكس من ذلك ، توضح هذه المنحنيات بالفعل الشكل الموجي الحقيقي في حالة الموجات المستعرضة). ولكنها توضح إزاحة كل نفطة على الزنبرك عن موضع اتزانها ، ومن الواضح أن هذه الإزاحات في اتجاه المحور x تتغير تغيراً جيبياً مع x.
وتوجد العقد عند تلك النقط التي تتلاشى فيها الموجة المتحركة إلى اليمين مع الموجة المتحركة إلى اليسار ، تاركتين الزنبرك بدون انضغاط او امتداد. وتتحقق شروط حدوث الموجة المستقرة عندما يكون طول الزنبرك مساوياً أضعافاً صحيحة قدر المسافة بين عقدتين متتاليتين. وعليه فإن شرط الرنين في حالة الموجبات الطولية على زنبرك مثبت عند طرفيه هو نفس شرط الرنين في حالة الموجبات المستعرضة:

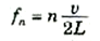
حيثn = 1,2,3 , …… . وباستخدام هذه العلاقة جنباً إلى جنب مع العلاقة بين الطول الموجي والتردد ، = v/fλ ، يمكننا ان نرى مباشرة ان الترددات الرنينية للزنبرك (أي الترددات التوافقية ) تكون كالتالي:

حيث = 1,2,3, ……..n .

الشكل 1)): الموجات المستقرة الناتجة عن الاهتزاز الطولي لزنبرك. هذه المنحنيات تصف المسافات بين كل حلقتين متجاورتين ، ولكنها لا تمثل الشكل الحقيقي للزنبرك.
الاكثر قراءة في الصوت
اخر الاخبار
اخبار العتبة العباسية المقدسة
الآخبار الصحية

قسم الشؤون الفكرية يصدر كتاباً يوثق تاريخ السدانة في العتبة العباسية المقدسة
"المهمة".. إصدار قصصي يوثّق القصص الفائزة في مسابقة فتوى الدفاع المقدسة للقصة القصيرة
(نوافذ).. إصدار أدبي يوثق القصص الفائزة في مسابقة الإمام العسكري (عليه السلام)