

علم الكيمياء

تاريخ الكيمياء والعلماء المشاهير

التحاضير والتجارب الكيميائية

المخاطر والوقاية في الكيمياء

اخرى

مقالات متنوعة في علم الكيمياء

كيمياء عامة


الكيمياء التحليلية

مواضيع عامة في الكيمياء التحليلية

التحليل النوعي والكمي

التحليل الآلي (الطيفي)

طرق الفصل والتنقية


الكيمياء الحياتية

مواضيع عامة في الكيمياء الحياتية

الكاربوهيدرات

الاحماض الامينية والبروتينات

الانزيمات

الدهون

الاحماض النووية

الفيتامينات والمرافقات الانزيمية

الهرمونات


الكيمياء العضوية

مواضيع عامة في الكيمياء العضوية

الهايدروكاربونات

المركبات الوسطية وميكانيكيات التفاعلات العضوية

التشخيص العضوي

تجارب وتفاعلات في الكيمياء العضوية


الكيمياء الفيزيائية

مواضيع عامة في الكيمياء الفيزيائية

الكيمياء الحرارية

حركية التفاعلات الكيميائية

الكيمياء الكهربائية


الكيمياء اللاعضوية

مواضيع عامة في الكيمياء اللاعضوية

الجدول الدوري وخواص العناصر

نظريات التآصر الكيميائي

كيمياء العناصر الانتقالية ومركباتها المعقدة


مواضيع اخرى في الكيمياء

كيمياء النانو

الكيمياء السريرية

الكيمياء الطبية والدوائية

كيمياء الاغذية والنواتج الطبيعية

الكيمياء الجنائية


الكيمياء الصناعية

البترو كيمياويات

الكيمياء الخضراء

كيمياء البيئة

كيمياء البوليمرات

مواضيع عامة في الكيمياء الصناعية

الكيمياء الاشعاعية والنووية
OTHER PHASE ONE CHANGES
المؤلف:
James R Hanson
المصدر:
Chemistry and Medicines
الجزء والصفحة:
p31
29-3-2016
1622
OTHER PHASE ONE CHANGES
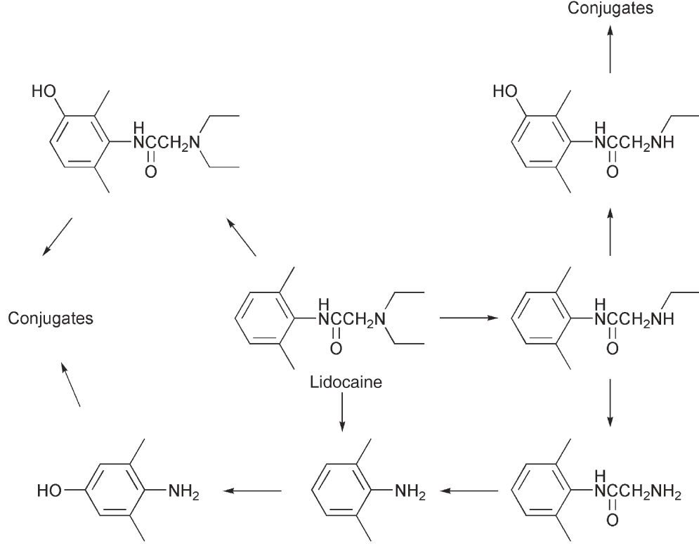
Although demethylation is a common metabolic process, methylation is also found particularly in the metabolism of the catecholamine neurotransmitters. Catechol O-methyl transferase (COMT) is a major metabolic deactivation for the catecholamines and its consequences are discussed later in the context of these compounds. Carboxyl esterases and peptidases lead to the deactivation of many drugs. For example, the ester procaine 2.31, which is an anaesthetic, is hydrolysed to p-aminobenzoic acid 2.32. The metabolism of the local anaesthetic, lidocaine (xylocaine) (Scheme 1) brings together several of the steps that have been outlined.

Drug metabolism can bring about a change in activity. Iproniazid 2.33 is an anti-depressant while its dealkylation product, isoniazid 2.34 has anti-tubercular activity.

Sufficient data on drug metabolism is now available for it to be possible to use molecular modelling techniques to predict the likely metabolism of a drug. Some cytochromes have been cloned and bacterial models can be used to identify putative mammalian metabolites. A drug may be incubated with a microorganism containing the common mammalian cytochromes as a first step in the identification of its metabolites.

Scheme 1: The metabolism of lidocaine
الاكثر قراءة في الكيمياء الطبية والدوائية
اخر الاخبار
اخبار العتبة العباسية المقدسة
الآخبار الصحية

قسم الشؤون الفكرية يصدر كتاباً يوثق تاريخ السدانة في العتبة العباسية المقدسة
"المهمة".. إصدار قصصي يوثّق القصص الفائزة في مسابقة فتوى الدفاع المقدسة للقصة القصيرة
(نوافذ).. إصدار أدبي يوثق القصص الفائزة في مسابقة الإمام العسكري (عليه السلام)