 
					
					
						LINE SPECTRA					
				 
				
					
						 المؤلف:  
						Mark Csele
						 المؤلف:  
						Mark Csele					
					
						 المصدر:  
						FUNDAMENTALS OF LIGHT SOURCES AND LASERS
						 المصدر:  
						FUNDAMENTALS OF LIGHT SOURCES AND LASERS					
					
						 الجزء والصفحة:  
						p21
						 الجزء والصفحة:  
						p21					
					
					
						 8-3-2016
						8-3-2016
					
					
						 2991
						2991					
				 
				
				
				
				
				
				
				
				
				
			 
			
			
				
				LINE SPECTRA
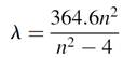
When a gas such as hydrogen is put under low pressure and excited electrically, it emits light. In analyzing the light emitted using a simple diffraction grating, one notices that this light is not a continuum but is actually composed of a series of discrete lines. In the case of hydrogen (chosen because it is the simplest atom, with only one electron), the visible spectrum (between 400 and 700 nm) is actually composed of five discrete lines at 656.3 nm in the red, 486.1 nm in the cyan, 434.1 nm in the blue, 410.2 nm in the violet, and 397.0 nm in the deep violet. This series of lines is called the Balmer series after the discoverer, J. J. Balmer, a Swiss secondary schoolteacher, who found the relationship between the wavelength of these lines and the square of an integer n as
 
 
where n is an integer with values 3, 4, 5, 6, . . . . The fact that this formula works for values of n = 3 and greater is of great importance, as will be evident. Further investigations showed that the reciprocal of the wavelength (1/λ) was a function of a constant (the Rydberg constant) and an integer n. Neither of these relations (Balmer or Rydberg) detail the mechanism of light emission in the atom but rather, attempt to predict its behavior. To fully understand the mechanism of light emission, one must understand the basic structure of the atom as well as the nature of light itself.
				
				
					
					 الاكثر قراءة في  الضوء
					 الاكثر قراءة في  الضوء					
					
				 
				
				
					
					 اخر الاخبار
						اخر الاخبار
					
					
						
							  اخبار العتبة العباسية المقدسة