
تاريخ الفيزياء

علماء الفيزياء


الفيزياء الكلاسيكية

الميكانيك

الديناميكا الحرارية


الكهربائية والمغناطيسية

الكهربائية

المغناطيسية

الكهرومغناطيسية


علم البصريات

تاريخ علم البصريات

الضوء

مواضيع عامة في علم البصريات

الصوت


الفيزياء الحديثة


النظرية النسبية

النظرية النسبية الخاصة

النظرية النسبية العامة

مواضيع عامة في النظرية النسبية

ميكانيكا الكم

الفيزياء الذرية

الفيزياء الجزيئية


الفيزياء النووية

مواضيع عامة في الفيزياء النووية

النشاط الاشعاعي


فيزياء الحالة الصلبة

الموصلات

أشباه الموصلات

العوازل

مواضيع عامة في الفيزياء الصلبة

فيزياء الجوامد


الليزر

أنواع الليزر

بعض تطبيقات الليزر

مواضيع عامة في الليزر


علم الفلك

تاريخ وعلماء علم الفلك

الثقوب السوداء


المجموعة الشمسية

الشمس

كوكب عطارد

كوكب الزهرة

كوكب الأرض

كوكب المريخ

كوكب المشتري

كوكب زحل

كوكب أورانوس

كوكب نبتون

كوكب بلوتو

القمر

كواكب ومواضيع اخرى

مواضيع عامة في علم الفلك

النجوم

البلازما

الألكترونيات

خواص المادة


الطاقة البديلة

الطاقة الشمسية

مواضيع عامة في الطاقة البديلة

المد والجزر

فيزياء الجسيمات


الفيزياء والعلوم الأخرى

الفيزياء الكيميائية

الفيزياء الرياضية

الفيزياء الحيوية

الفيزياء العامة


مواضيع عامة في الفيزياء

تجارب فيزيائية

مصطلحات وتعاريف فيزيائية

وحدات القياس الفيزيائية

طرائف الفيزياء

مواضيع اخرى
الآلات البسيطة
المؤلف:
فريدريك بوش ، دافيد جيرد
المصدر:
اساسيات الفيزياء
الجزء والصفحة:
الفصل 5
8-2-2016
22276
الآلات البسيطة
الآلات هي أجهزة تستخدم لمساعدتنا في بذل الشغل. والآلة البسيطة هي جهاز ميكانيكي يمكنه أن يؤثر على جسم بقوة معينة في نقطة معينة عندما تؤثر على الجهاز قوة خارجية في نقطة أخرى. وتمثل الروافع والبكرات والعجلة ذات المحور والمرفاع بعض أمثلة الآلات البسيطة.
الآلات البسيطة لا تخلق الطاقة. فطبقاً لقانون بقاء الطاقة لا تستطيع الآلة أن تعطي خرج شغل أكبر من كمية الشغل التي تزود به. ونظراً لأن الآلات لا تخلو دائماً من بعض الاحتكاك فإن خرج الشغل يكون في الحقيقة أقل من دخل الشغل بكمية تساوي الطاقة الحرارية المتولدة. وتعتبر كفاءة الآلة مقياساً لدرجة تحويل دخل الشغل إلى خرج الشغل.
(1) 
ويقال أن الآلة مثالية إذا كانت تعمل بكفاءة قدرها 100 في المائة.

الشكل ((1
وبالرغم من أن الآلة لا تستطيع أن تخلق الطاقة فإنها تستطيع تكبير دخل القوة، وهذه في الواقع هي فائدتها الأساسية. لنتأمل الرافعة البسيطة المبينة بالشكل 1))، ولنفرض أن الاحتكاك في محور، أو المرتكز، مهمل بحيث تكون الآلة مثالية. عند تسليط القوة F على بعد H يكون دخل الشغل:
FH – دخل الشغل
نتيجة لذلك سوف يرتفع الثقل mg، ويسمى الحمل ، مسافة قدرها h ، ومن ثم يكون خرج الشغل:
mgh - خرج الشغل
وحيث اننا افترضنا أن الآلة مثالية ، إذن
خرج الشغل – دخل الشغل
FH – mgh
يلاحظ من الشكل1) ) أن المثلثين المظلين على الجانبين الأيمن والأيسر لنقطة الارتكاز متشابهان، وعليه فإن h/H = x/X. إذن :
F = mg h/H = mg x/X
ومن هذه المعادلة ترى أن القوة اللازمة لرفع الحمل F أقل من mg بنسبة قدرها x/X فمثلاً ، إذا كانت x = ½ X فإن f ستكون mg½ فقط. هذا يعني أن الرافعة قد ضاعفت دخل القوة بمعامل قدره 2.
الآلات البسيطة يمكنها مضاعفة القوة المسلطة عليها:
تسمى قدرة الآلة البسيطة على مضاعفة القوى بالفائدة الميكانيكية. فإذا كانت F0 هي خرج القوة للآلة وكانتF1 القوة المؤثرة عليها ( أي دخل القوة) ، يمكن كتابة تعريف الفائدة الميكانيكية الفعلية AMA على الصورة:
(2) (AMA) = F0 /F1
وعلى سبيل المثال. يحتاج مرفاع السيارة إلى دخل قوة قدره 100 N لرفع حمل قدره 5000 N ، ومن ثم فإن AMA للمرفاع:
يتلخص الثمن الذي ندفه لمضاعفة قوة باستخدام آلة بسيطة في أن المسافة التي يتحركها الحمل أقصر من المسافة التي تؤثر القوة المسلطة خلالها . فكلي يتحرك حمل مسافة قدرها y في حالة الرافعة السابقة وصفها يجب أن تؤثر قوة قدرها mg½ خلال مسافة قدرها 2y. هذا الفرق في المسافة هو مجرد نتيجة لبقاء الطاقة. إذن ، في حالة الآلة المثالية:
(للآلة المثالية فقط) F1 s1 = F0 s0
حيث s1 المسافة التي تؤثر خلالها القوة المسلطة ، s0 المسافة التي يتحركها الحمل. يمكن التعبير عن الكفاءة الميكانيكية لآل مثالية بالنسبة بين خرج الإزاحة ودخل الإزاحة.
(3) (IMA) = s1/s0 الفائدة الميكانيكية المثالية
وباستخدام تعرفي AMA و IMA يمكن كتابة كفاءة الآلة على الصورة :
(4) 

الشكل (2)
سنقوم الآن بتوضيح فائدة هذه المعادلات بالرجوع إلى الآلة البسيطة الموضحة بالشكل (2). هذه الآلة تسمى العجلة ومحور العجلة وهي تستخدم لرفع حمل ثقيل W باستعمال دخل قوة صغير. ويمكن حساب IMA للآلة بملاحظة أنه عندما تدور العجلة ومحور العجلة دورة كاملة سوف يلتف من أحد الحبلين وينفك من الآخر طول يساوي محيط الدائرة المناظرة ، ومن ثم فإن s1= 2πb،s0 = 2πa إذن:

وإذا كانت كفاءة الآلة 100 في المائة فإن القوة f يمكنها أن ترفع حملاً وزنه:

ويجعل نصف قطر العجلة أكبر كثيراً من نصف قطر محور العجلة فإننا نحصل على جهاز ذي كفاءة رفع عالية جداً.


الشكل ((3 الشكل ((4
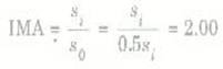
تعتبر البكرات أيضاً آلات بسيطة هامة .والبكارة الموضحة بالشكل (4) نستطيع رفع جسم وزنه M عندما يشد الحبل المار على البكرة العلوية بقوة F. هذه البكرة مثبتة في السقف سوف تتحرك مسافة قدرها 0.5s1 عندما يشد الحبل مسافة قدرها s1 على البكرة العليا. (يقصر كل من الحبلين اللذين يحملان البكرة السفلى بمقدار 0.5s1 ، وبذلك يكون النقص الكلي في طول الحبل بين البكرتين s1، ومن ثم:

هذه البكرة لها IMA قدره 2. يجب أن يتكون قادراً على إثبات أن القاعدة الميكانيكية للبكارة الموضحة بالشكل ((3 تساوي 4.
من الجدير بالذكر أن القاعدة الميكانيكية الفعلية لهاتين البكارتين أقل كثيراً من الفائدة الميكانيكية المثالية لهما. هذا ليس بسبب الاحتكاك الموجود في البكارتين فقط، ولكن أيضاً لأن البكارتين ترفعان أيضاً حملاً إضافياً غير نافع هو وزن البكرة المتحركة. وبالرغم من ذلك فإن البكرات تستخدم على نطاق واسع في رفع الأجسام الثقيلة.
الاكثر قراءة في الميكانيك
اخر الاخبار
اخبار العتبة العباسية المقدسة
الآخبار الصحية

قسم الشؤون الفكرية يصدر كتاباً يوثق تاريخ السدانة في العتبة العباسية المقدسة
"المهمة".. إصدار قصصي يوثّق القصص الفائزة في مسابقة فتوى الدفاع المقدسة للقصة القصيرة
(نوافذ).. إصدار أدبي يوثق القصص الفائزة في مسابقة الإمام العسكري (عليه السلام)