Influence of the Nanocrystal Surface or Interface on the Lattice Parameter					
				 
				
					
						
						 المؤلف:  
						C. Br´ echignac P. Houdy M. Lahmani					
					
						
						 المصدر:  
						Nanomaterials and Nanochemistry					
					
						
						 الجزء والصفحة:  
						p50					
					
					
						
						3-2-2016
					
					
						
						1388					
				 
				
				
				
				
				
				
				
				
				
			 
			
			
				
				Influence of the Nanocrystal Surface or Interface on the Lattice Parameter
Several experiments have shown a relationship between the adsorption state of nanocrystal surfaces and the change in the lattice parameter. Hence, for nanocrystals in ceramic powders like BaTiO3 or SrTiO3, the presence of water molecules and OH− ions on the surface causes an increase in the lattice parameter. After desorption of the molecules by a suitable heat treatment, the values for the bulk solid are recovered.
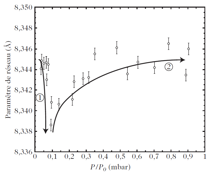
Figure 1 shows how one may adjust the lattice parameter in γ-Fe2O3 by varying the surface energy of the nanocrystal. There are two clearly distinct regimes: first a contraction of the nanocrystal, and then an expansion. The first regime corresponds to a phase in which OH− and H2O are chemisorbed on the surface, and an initial water monolayer is formed, with water vapor pressures below a certain critical value. The second regime, on the other hand, corresponds to the formation of water multilayers by physisorption, and the relaxation of the oxide by strengthening of the bonds between the water layers. The existence of two distinct regimes has also been demonstrated for iron nanoparticles coated with a thin layer of γ-Fe2O3 , and also when oxygen is adsorbed on carbon nanotubes .

Fig.1. Dependence of the lattice parameter for a nanometric   γ-Fe2O3 powder on the state of adsorption of water vapour on the  powder.   For water vapour  pressures below a critical value (around P/P0 = 0.1),  the formation of a monolayer appears to compress the oxide,  whilst for  high  pressures,  the formation of multilayers of water would  appear  to relax the oxide by strengthening the bonds between water layers  [32].  (1) 630 kJ/mol: chemisorption of OH2− and physisorption of H2O  (monolayer on γ-Fe2O3). (2)  45 kJ/mol:  physisorption of H2O  (multilayer on H2O)
				
				
					
					
					 الاكثر قراءة في  كيمياء النانو 					
					
				 
				
				
					
					
						اخر الاخبار
					
					
						
							  اخبار العتبة العباسية المقدسة