
تاريخ الفيزياء

علماء الفيزياء


الفيزياء الكلاسيكية

الميكانيك

الديناميكا الحرارية


الكهربائية والمغناطيسية

الكهربائية

المغناطيسية

الكهرومغناطيسية


علم البصريات

تاريخ علم البصريات

الضوء

مواضيع عامة في علم البصريات

الصوت


الفيزياء الحديثة


النظرية النسبية

النظرية النسبية الخاصة

النظرية النسبية العامة

مواضيع عامة في النظرية النسبية

ميكانيكا الكم

الفيزياء الذرية

الفيزياء الجزيئية


الفيزياء النووية

مواضيع عامة في الفيزياء النووية

النشاط الاشعاعي


فيزياء الحالة الصلبة

الموصلات

أشباه الموصلات

العوازل

مواضيع عامة في الفيزياء الصلبة

فيزياء الجوامد


الليزر

أنواع الليزر

بعض تطبيقات الليزر

مواضيع عامة في الليزر


علم الفلك

تاريخ وعلماء علم الفلك

الثقوب السوداء


المجموعة الشمسية

الشمس

كوكب عطارد

كوكب الزهرة

كوكب الأرض

كوكب المريخ

كوكب المشتري

كوكب زحل

كوكب أورانوس

كوكب نبتون

كوكب بلوتو

القمر

كواكب ومواضيع اخرى

مواضيع عامة في علم الفلك

النجوم

البلازما

الألكترونيات

خواص المادة


الطاقة البديلة

الطاقة الشمسية

مواضيع عامة في الطاقة البديلة

المد والجزر

فيزياء الجسيمات


الفيزياء والعلوم الأخرى

الفيزياء الكيميائية

الفيزياء الرياضية

الفيزياء الحيوية

الفيزياء والفلسفة

الفيزياء العامة


مواضيع عامة في الفيزياء

تجارب فيزيائية

مصطلحات وتعاريف فيزيائية

وحدات القياس الفيزيائية

طرائف الفيزياء

مواضيع اخرى
مجموعات العدسات
المؤلف:
فريدريك بوش ، دافيد جيرد
المصدر:
اساسيات الفيزياء
الجزء والصفحة:
11-1-2016
3515
مجموعات العدسات
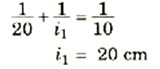
تحتوي معظم الأجهزة البصرية على أكثر من عدسة واحدة. ومن السهل تناول نظم العدسات هذه إذا تعاملنا معها بأسلوب منهجي. وسنبدأ بتحديد الصورة النهائية التي تكونها عدستان كما في الشكل (1 أ). فالجسم يبعد 20 cm عن العدسة الأولى، التي تبعد بدورها 30 cm عن العدسة الثانية. وكلتا العدستين مجمعة. ولنهمل العدسة الثانية تماماً كخطوة أولى ونحاول إيجاد الصورة المتكونة بواسطة العدسة الأولى. يحدد رسم مسار الأشعة موقع هذه الصورة وهو I1 كما في الشكل (1 ب). وإذا طبقنا معادلة العدسة فإنه يصبح لدينا:

ثم نعتبر هذه الصورة التي كونتها العدسة الأولى على أنها جسم بالنسبة للعدسة الثانية. ولكي نتأكد من ان هذا التناول صحيح، علينا ملاحظة أن الأشعة الساقطة على العدسة الثانية هي نفس الأشعة التي قد يبعثها جسم موضوع عند I1. علينا الآن إهمال العدسة الأولى واستخدام I1 كجسم بالنسبة للعدسة الثانية حتى ترسم مسار الأشعة كما في الشكل (1 جـ). والصورة النهائية ستكون عند الموقع I2. وفي هذا المثال ، تكون الصورة النهائية المتكونة بواسطة العدستين حقيقية ومعتدلة.

الشكل 1)): علينا عند إيجاد الصورة المتكونة بواسطة مجموعة من العدسات، أن نتناول كل عدسة على حدة بمفردها.
ولكي نطبق معادلة العدسة الثانية علينا ملاحظة أن بعد الجسم P2 هو(30 cm -20 cm) = + 10 cm، وتتفق الإشارة الموجبة مع كون هذه النقطة تقع أمام العدسة الثانية ومن ثم:

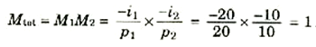
سنطبق الآن تعريفنا للتكبير على كل عدسة لكي نوجد الصورة النهائية وذلك بضرب قيم التكبير المنفردة في بعضها.

ولدينا الآن النتيجة غير العادلة وهي أن الصورة النهائية لها نفس حجم الجسم الأصلي وتدل الإشارة الموجية أن الصورة النهائية معتدلة بالنسبة للجسم الأصلي، فكل عدسة قد كونت صورة مقلوبة للجسم المناظر لها.
وعندما تكون لدينا عدستان فسيكون الموقف بحيث تتكون الصورة خلف العدسة الثانية. افترض ، مثلاً، أن العدستين اللتين استخدمناهما قد وضعتا وبينهما مسافة 15 cm بدلاً من 30 cm. إن الأشعة الخارجة من العدسة الأولى ستظل متجمعة عندما تصل إلى العدسة الثانية. ومن الواضح أن هذا ليس هو سلوك الأشعة الصادرة من جسم حقيقي والتي دائماً ما تتفرق. أن نعامل الجسم المناظر للعدسة الثانية على أنه جسم تقديري وجعل إشارة المسافة P2 بينه وبين العدسة الثانية سالبة.
الاكثر قراءة في مواضيع عامة في علم البصريات
اخر الاخبار
اخبار العتبة العباسية المقدسة
الآخبار الصحية

قسم الشؤون الفكرية يصدر كتاباً يوثق تاريخ السدانة في العتبة العباسية المقدسة
"المهمة".. إصدار قصصي يوثّق القصص الفائزة في مسابقة فتوى الدفاع المقدسة للقصة القصيرة
(نوافذ).. إصدار أدبي يوثق القصص الفائزة في مسابقة الإمام العسكري (عليه السلام)