الطاقة المختزنة في مجال كهربي
المؤلف:
فريدريك بوش ، دافيد جيرد
المصدر:
اساسيات الفيزياء
الجزء والصفحة:
6-1-2016
6561
الطاقة المختزنة في مجال كهربي
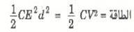
أن الطاقة المختزنة في مكثف مشحون هي CV2 ½ ، حيث V هي الفولطية الواقعة عبر مكثف الذي سعته C. وعلى الرغم من أنه من غير الضروري أن نحدد بدقة كيف وأين تختزن هذه الطاقة ، إلا أنه يكون من المناسب أحياناً أن نفكر في الأمر أن الطاقة تختزن هذه الطاقة ، إلا أنه يكون من المناسب أحياناً أن نفكر في الأمر على أن الطاقة تختزن في المجال الكهربي القائم بين لوحي المكثف.
وبوجود هذه الخلفية في الأذهان فقد يكون طيباً ان نعبر عن معادلة الطاقة المختزنة بدلالة المجال الكهربيE بين اللوحين. ونستطيع عمل هذا عند تذكر أنه بالنسبة للمكثف متوازي اللوحين فإن ، V = Ed ، حيث d هي المسافة التي تفصل بين اللوحين.
وعلى هذا فإن الطاقة المختزنة في مكثف متوازي اللوحين تصبح:

تكون سعة المكثف ذي اللوحين المتوازيين C = ϵ0 A/d حيث A هي مساحة اللوح ، وذلك عندما يكون هناك فراغ بين اللوحين ؛ أما إذا كان ممتلئاً بعازل ذي ثابت عزل مقداره K فإن المعادلة تصبح C = K ϵ0 A/d.
وبالتعويض عن قيمة C هذه في المعادلة الطاقة نصل إلى:

يلاحظ أن المقدار (Ad)) هو حجم الحيز بين لوحي المكثف ــ او بتعبير آخر. الحجم الذي يكون فيه المجال الكهربي ثابتاً. عند قسمة طرفي المعادلة على الحجم فإننا نخصل على تعبير للطاقة في وحدة الحجوم ، أي الطاقة التي نتصور انها مختزنة في وحدة الحجوم من تلك المنطقة التي يكون المجال الكهربي فيها هو E:
(1) 
لاحظ أن الطاقة المختزنة في وحدة الحجوم من الفضاء تتناسب مع مربع شدة المجال الكهربي. ومن المناسب عادة أن نستخدم المعادلة ((1 عندما ننسب الطاقة إلى مجال كهربي. وعلى الرغم من أن هذا التعبير قد تم اشتقاقه بالنسبة لحالة خاصة جداً، إلا إنه قد ثبت في كتب اكثر تقدماً أن صلاحيته عامة.
الاكثر قراءة في الكهربائية
اخر الاخبار
اخبار العتبة العباسية المقدسة