
تاريخ الفيزياء

علماء الفيزياء


الفيزياء الكلاسيكية

الميكانيك

الديناميكا الحرارية


الكهربائية والمغناطيسية

الكهربائية

المغناطيسية

الكهرومغناطيسية


علم البصريات

تاريخ علم البصريات

الضوء

مواضيع عامة في علم البصريات

الصوت


الفيزياء الحديثة


النظرية النسبية

النظرية النسبية الخاصة

النظرية النسبية العامة

مواضيع عامة في النظرية النسبية

ميكانيكا الكم

الفيزياء الذرية

الفيزياء الجزيئية


الفيزياء النووية

مواضيع عامة في الفيزياء النووية

النشاط الاشعاعي


فيزياء الحالة الصلبة

الموصلات

أشباه الموصلات

العوازل

مواضيع عامة في الفيزياء الصلبة

فيزياء الجوامد


الليزر

أنواع الليزر

بعض تطبيقات الليزر

مواضيع عامة في الليزر


علم الفلك

تاريخ وعلماء علم الفلك

الثقوب السوداء


المجموعة الشمسية

الشمس

كوكب عطارد

كوكب الزهرة

كوكب الأرض

كوكب المريخ

كوكب المشتري

كوكب زحل

كوكب أورانوس

كوكب نبتون

كوكب بلوتو

القمر

كواكب ومواضيع اخرى

مواضيع عامة في علم الفلك

النجوم

البلازما

الألكترونيات

خواص المادة


الطاقة البديلة

الطاقة الشمسية

مواضيع عامة في الطاقة البديلة

المد والجزر

فيزياء الجسيمات


الفيزياء والعلوم الأخرى

الفيزياء الكيميائية

الفيزياء الرياضية

الفيزياء الحيوية

الفيزياء والفلسفة

الفيزياء العامة


مواضيع عامة في الفيزياء

تجارب فيزيائية

مصطلحات وتعاريف فيزيائية

وحدات القياس الفيزيائية

طرائف الفيزياء

مواضيع اخرى
تدقيق نتائج تعيين التركيب Refining Crystal Structure
المؤلف:
أ.د. نعيمة عبد القادر أحمد / أ.د. محمد أمين سلمان
المصدر:
علم البلورات والاشعة السينية
الجزء والصفحة:
ص241–247
2023-09-30
1460
مرحلة تحسين نتائج تعيين التركيب تبدأ بعد الحصول على تركيب يحتوي على كل الذرات ولا توجـد قيمة واحدة للكمية يمكن اعتبارها مقياسا لتكون قيمة النهاية الصغرى التي يمكن أن نتأكد عند الوصول إليها بنجاح عملية التدقيق ولكن عادة يمكن البدء في هذه العملية إذا كانت قيمة R حوالي 0.3، ومن ناحية أخرى يمكن أن يحتوي التركيب على مظاهر خاطئة في بعض الأحوال رغم أن قيمة R يمكن أن تقل عن ذلك وفي هذه الحالة تفشل عمليــة التدقيق.
1- التدقيق باستخدام متسلسلة فورييرRefinement by Successive Fourier Syntheses
يمكن باستخدام متسلسلة فوريير وقيم F0 كمعاملات لها أن يتم حساب الكثافة الإلكترونية وتعيين مواقع الذرات من جديد حيث تستخدم في إعادة حساب معاملات التركيب ثم تستخدم الأطوار الجديدة مع قيم معاملات التركيب المقاسة عمليا لإعادة حساب الكثافة الإلكترونية وتعاد هذه العملية عدة دورات حتى لا نجد تغيرا يذكر في أماكن الذرات وبالتالي لا يوجد تغيير في الأطوار التي تم حسابها من معاملات التركيب وفي مثل هذه الحالات نستنبط إحداثيات الذرات من خرائط الكثافة الإلكترونية بيانيا.
2- التدقيق بمتسلسلة فوريير للفروق Refinement by Difference Fourier
طريقة أخرى لتحسين نتائج تعيين التركيب يمكن إجراؤها باستخدام متسلسلة فوريير التي تكون معاملاتها FΔ بدلا من F0 حيث FΔ هي الفرق بين معاملي التركيب المقاس عمليا F0 والذي يحسب بمعلومية إحداثيات الذرات cF.
هذه الدالة تمثل الفرق بين الكثافة الإلكترونية الحقيقية وتلك المفترض أنها خاصة بالشكل الذي استخدم في حساب قيم Fc؛ ولذلك فلها الخاصية الإضافية وهي توضيح الأخطاء في التركيب، ويمكن أن تستخدم كأساس لعملية التحسين؛ فالأوضاع الصحيحة للذرات تظهر لسطح مستوى تقريبا قليل الانحدار، حيث إن القمم الخاصة بها تكون قد أزيلت، أما بالنسبة للذرات التي يوجد خطأ في أوضاعها فإن الوضع الخطأ لها يقع على نقطة منخفضة في خريطة الكثافة الإلكترونية والوضع الصحيح لها يقع على قمة، وفي هذه الأحوال فالوضع الذي كان مفترضا يمكن أن يتم تصحيحه بإزاحته من القاع إلى القمة. أما إذا كان الوضع المفترض به الخطأ بسيط فإنه يقع على منحدر بين القمة والقاع وفي هذه الحالة يمكن تصحيحه بإزاحته نحو أعلى المنحدر (انظر الشكل 8-5).

شكل (5-8)
عملية تدقيق بواسطة متسلسلات فوريير
a - العلاقة بين الموقع المفترض والموقع الحقيقي وقمة الكثافة الإلكترونية نتيجة إزاحة بسيطة للذرة.
b - علاقة مماثلة في حالة متسلسلة الفروق.
3- التدقيق باستخدام المربعات الصغرى: Least squares Refinement
في هذه الطريقة تتم عملية التدقيق بطريقة تكرارية تُحسن فيها المتغيرات التي تؤثر في حساب المعامل التركيبي حتى تكون القيم المحسوبة أقرب إلى القيم المقاسة عمليا والمتغيرات التي يتم تحسينها أو تعيينها بدقة أكثر هي إحداثيات الذرات، القيم التي تحدد تذبذب الذرات الحراري حول مواقعها، كذلك معامل القياس الذي يستخدم لوضع المعامل التركيبي المقاس عمليا في مقياس مطلق absolute scale أما البيانات العملية فهي قيم معاملات التركيب التي نحصل عليها من قيم شدة الانعكاسات المقاسة عمليا والأطوار التي نحصل عليها (يتم تعيينها) بالطرق المباشرة أو غير المباشرة.
وفيما يلي المتغيرات التي تجرى عليها عملية التدقيق:
أ- إحداثيات الذرات: Atomic Coordinates
يتم تحسين إحداثيات الذرات عن طريق حساب معاملات التركيب التي تدخل في حسابها ...

ب- معامل التذبذب الحراري للذرات Atomic Vibration Parameters
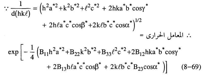
سبق أن أوضحنا أن معامل التشتت الذري F يعتمد ليس فقط على عدد الإلكترونات في الذرة ولكن أيضاً على التذبذب الحراري للذرات حول موقعها حيث إن هذا يزيد من الحجم الذي تشغله الإلكترونات في الذرة وهي التي تحدث تشتت الأشعة السينية، والنتيجة هي تقليل قيمة F مع /λθsin بسرعة أكبر مما هي لو كانت الذرة ساكنة لا تتذبذب وهذا يمكن أخذه في الاعتبار إذا ضربت f0 في معامل حراري كالاتي:
حيث B هو المعامل الحراري الذي يرتبط مع متوسط مربع الإزاحة للذرات μ بالعلاقة:
وهذه المعادلة تسري في حالة كان تذبذب الذرة متساويا في جميع الاتجاهات isotropic وحيث إن تذبذب الذرات يكون غير متساو anisotropic فإن u تعطى بالمعادلة:
حيث 2 ̅U̅ هو متوسط مربع السعة للذبذبة في اتجاه متجه الوحدة l والمعامل 2 ينشأ نتيجة أن U23 = U32 وهكذا.
وU، l تعرف بالنسبة لمحاور الشبيكة العكسية c* وb* وa* وبذلك تكون مركبة U في الاتجاه [100] الموازية للمحور a* هي 2 ̅U̅ = U11
وعند كل نقطة في الشبيكة العكسية يكون المعامل الحراري.

والوحدات لقيم Uij تكون Å2 وقيم Bij الست التي تكون قطعا ناقصا للذبذبة كما في الشكل (8-6).

شكل (8-6)
وطريقة أخرى يمكن بها التعامل مع الذبذبة غير المتساوية في الاتجاهات المختلفة هي إعادة ترتيب التعبير الخاص بالمعامل الحراري ...

حيث d هي المسافة بين المستويات وبذلك تكون 1/d(hkl) وهو طول متجه في الشبيكة العكسية من المركز حتى النقطة hkl.

4- طريقة المربعات الصغرى: Least Squares Method
طرقة المربعات الصغرى كما وصفها في الأصل Legendre تطبق بجعل مجموعة المربعات للأخطاء في Fc أقل ما يمكن، ويتم اجراء دورات عديدة حيث يتم تحسين قيم كل متغير بعد كل دورة ويستمر تكرار العملية الى ان نصل الى نقطة لا يحدث فيها أي تحسن كما توضحه لنا معادلة معامل التوافق R (معاملة الثقة).

وهذا يمكن التعبير عنه إما بنسبة مئوية أو بكسر عشري (10% أو 0.10) وقد أوضح Cruick shank أنه للحصول على أطوال الروابط بدرجة من الدقة في حدود Å 0.01 فإن معامل التوافق R لابد أن يصل إلى 1% والقيمة المعتادة للمعامل R في حالة الحصول على بيانات الحيود من الأفلام تتراوح بين 7% إلى 10% وفي حالة تعيين التركيب من قياسات أشعة الحيود على جهاز الحيود من البلورات الأحادية تقل قيمة R حيث تكون قياسات شدة الانعكاسات أكثر دقة.
الطريقة التي تستخدم لحل عدد N من المعادلات الآنية في عدد n من المجاهيل حيث N>n تطبق في عملية تدقيق نتائج تعيين التركيب البلوري كالآتي: إذا كانت الأخطاء في قيم F0's تتبع توزيع جاوس فإن أفضل قيم للمتغيرات هي تلك التي تنتج من جعل قيمة المعادلة التالية نهاية صغرى:
حيث ω هو كمية الثقل الخاص بكل حد ويؤخذ متناسب تناسب عكسي مع مربع الخطأ المتوقع في قيمة F0 أي أن:
وحيث إن R تعتمد على كل المتغيرات المؤثرة على قيمة معامل التركيب وهي إحداثيات الذرات ومعاملات الذبذبة الحرارية ومعامل القياس ...
فدعنا نفترض أن 1P، 2P، 3P، .....، Pn هي المتغيرات التي عددها n الموجودة في |Fc| ومطلوب تعيينها، أما معامل القياس للكمية |Fc| فيجب تعيينه من المتغير المقلوب للكمية |Fc|.
فلكي تكون R نهاية صغرى يجب أن يكون:

ولمجموعة من قيم Pj القريبة من القيم الصحيحة يمكن أن نحصل على مفكوك القيمة Δ بواسطة متسلسلة تيلور Taylor's series للمرتبة الأولى كما يأتي:

وبالتعويض من المعادلة (75-8) في (74-8) نحصل على المعادلات السوية Normal Equations.

الاكثر قراءة في مواضيع عامة في الفيزياء الصلبة
اخر الاخبار
اخبار العتبة العباسية المقدسة
الآخبار الصحية

قسم الشؤون الفكرية يصدر كتاباً يوثق تاريخ السدانة في العتبة العباسية المقدسة
"المهمة".. إصدار قصصي يوثّق القصص الفائزة في مسابقة فتوى الدفاع المقدسة للقصة القصيرة
(نوافذ).. إصدار أدبي يوثق القصص الفائزة في مسابقة الإمام العسكري (عليه السلام)