الفاكهة والاشجار المثمرة
نخيل التمر
النخيل والتمور
آفات وامراض النخيل وطرق مكافحتها
التفاح
الرمان
التين
اشجار القشطة
الافو كادو او الزبدية
البشمله او الاكي دنيا
التوت
التين الشوكي
الجوز
الزيتون
السفرجل
العنب او الكرمة
الفستق
الكاكي او الخرما او الخرمالو
الكمثري(الاجاص)
المانجو
الموز
النبق او السدر
فاكة البابايا او الباباظ
الكيوي
الحمضيات
آفات وامراض الحمضيات
مقالات منوعة عن الحمضيات
الاشجار ذات النواة الحجرية
الاجاص او البرقوق
الخوخ
الكرز
المشمش
الدراق
مواضيع عامة
اللوز
الفراولة او الشليك
الجوافة
الخروب(الخرنوب)
الاناناس
مواضيع متنوعة عن اشجار الفاكهة
التمر هندي
الكستناء
شجرة البيكان ( البيقان )
البندق
المحاصيل
المحاصيل البقولية
الباقلاء (الفول)
الحمص
الترمس
العدس
الماش
اللوبياء
الفاصولياء
مواضيع متنوعة عن البقوليات
فاصوليا الليما والسيفا
محاصيل الاعلاف و المراعي
محاصيل الالياف
القطن
الكتان
القنب
الجوت و الجلجل
محصول الرامي
محصول السيسال
مواضيع متنوعة عن محاصيل الألياف
محاصيل زيتية
السمسم
فستق الحقل
فول الصويا
عباد الشمس (دوار الشمس)
العصفر (القرطم)
السلجم ( اللفت الزيتي )
مواضيع متنوعة عن المحاصيل الزيتية
الخروع
محاصيل الحبوب
الذرة
محصول الرز
محصول القمح
محصول الشعير
الشيلم
الشوفان (الهرطمان)
الدخن
محاصيل الخضر
الباذنجان
الطماطم
البطاطس(البطاطا)
محصول الفلفل
محصول الخس
البصل
الثوم
القرعيات
الخيار
الرقي (البطيخ الاحمر)
البطيخ
آفات وامراض القرعيات
مواضيع متنوعة عن القرعيات
البازلاء اوالبسلة
مواضيع متنوعة عن الخضر
الملفوف ( اللهانة او الكرنب )
القرنبيط او القرنابيط
اللفت ( الشلغم )
الفجل
السبانخ
الخرشوف ( الارضي شوكي )
الكرفس
القلقاس
الجزر
البطاطا الحلوه
القرع
الباميه
البروكلي او القرنابيط الأخضر
البنجر او الشمندر او الشوندر
عيش الغراب او المشروم او الأفطر
المحاصيل المنبهة و المحاصيل المخدرة
مواضيع متنوعة عن المحاصيل المنبهة
التبغ
التنباك
الشاي
البن ( القهوة )
المحاصيل السكرية
قصب السكر
بنجر السكر
مواضيع متنوعة عن المحاصيل
نباتات الزينة والنباتات الطبية والعطرية
نباتات الزينة
النباتات الطبية والعطرية
الحشرات النافعة
النحل
نحل العسل
عسل النحل ومنتجات النحل الاخرى
آفات وامراض النحل
دودة القز(الحرير)
آفات وامراض دودة الحرير
تربية ديدان الحرير وانتاج الحرير الطبيعي
تقنيات زراعية
الاسمدة
الزراعة العضوية
الزراعة النسيجية
الزراعة بدون تربة
الزراعة المحمية
المبيدات الزراعية
انظمة الري الحديثة
التصنيع الزراعي
تصنيع الاعلاف
صناعات غذائية
حفظ الاغذية
الانتاج الحيواني
الطيور الداجنة
الدواجن
دجاج البيض
دجاج اللحم
امراض الدواجن
الاسماك
الاسماك
الامراض التي تصيب الاسماك
الابقار والجاموس
الابقار
الجاموس
امراض الابقار والجاموس
الاغنام
الاغنام والماعز
الامراض التي تصيب الاغنام والماعز
آفات وامراض النبات وطرق مكافحتها
الحشرات
الحشرات الطبية و البيطرية
طرق ووسائل مكافحة الحشرات
الصفات الخارجية والتركيب التشريحي للحشرات
مواضيع متنوعة عن الحشرات
انواع واجناس الحشرات الضارة بالنبات
المراتب التصنيفية للحشرات
امراض النبات ومسبباتها
الفطريات والامراض التي تسببها للنبات
البكتريا والامراض التي تسببها للنبات
الفايروسات والامراض التي تسببها للنبات
الاكاروسات (الحلم)
الديدان الثعبانية (النيماتودا)
امراض النبات غير الطفيلية (الفسيولوجية) وامراض النبات الناتجة عن بعض العناصر
مواضيع متنوعة عن امراض النبات ومسبباتها
الحشائش والنباتات الضارة
الحشائش والنباتات المتطفلة
طرق ووسائل مكافحة الحشائش والنباتات المتطفلة
آفات المواد المخزونة
مواضيع متنوعة عن آفات النبات
مواضيع متنوعة عن الزراعة
المكائن والالات الزراعية
المبيدات الحشرية الكارباماتية Carbamate Insecticides
المؤلف:
د. عواد شعبان ونزار مصطفى الملاح
المصدر:
المبيدات
الجزء والصفحة:
ص 141-147
29-5-2022
5320
المبيدات الحشرية الكارباماتية Carbamate Insecticides
لقد كان لنجاح المبيدات الحشرية الفسفورية العضوية الفضل في استمرار البحث والتطوير لإيجاد مركبات اخرى تمتلك القابلية على تثبيط انزيمات الكولين استريز، وكانت النتيجة الحتمية لهذا البحث اكتشاف مجموعة جديدة من المركبات عرفت بعد ذلك بمجموعة الكارباميت وكان مركب الـ alkaloid physostigmin من اولى مركبات هذه المجموعة الذي وجد في نبات بقولي يدعى الـ Calabar beans. وتعود الخواص الفسيولوجية لهذا المركب الى احتوائه على مادة الـ Phenyl methyl carbamate. توالت بعد ذلك الدراسات والبحوث لاكتشاف وتحضير مركبات اخرى لها خواص مجموعة المركبات الكارباماتية، والتي هي عبارة عن مشتقات من حامض ال carbamic وتمتاز مبيدات للكارباميت بخواص الاسترات والاميدات لذلك فهي تتحلل في الوسط القلوي والحامضي كما ان استرات حامض الـ N - alkyl carbamic فقط التي تعطي هي خواص الابادة لمبيدات الكارباميت اما النشاط العالي لهذه المبيدات فتبديه مجموعة الـ aryl esters لحامض الـ N-methyl carbamic. وعموما فان التركيب الكيمياوي العام لمجموعة الكارياميت هو
حيث ان R عبارة عن مجموعة methyl و x تمثل واحداً او اكثر من الاستبدالات على الحلقة العطرية المتجانسة او غير المتجانسة. وان التغيير في مجموعة R هي التي تحدد نوع المبيد فاذا كانت: -
R= methyl group
فان المبيد هو مبيد حشري
R= aromatie moiety
فان المبيد هو مبيد ادغال
R = benzimidazole moiety
فان المبيد هو مبيد فطري
وعلى العموم فان مبيدات الكارباميت الحشرية تقسم الى مجموعتين :-
۱) مجموعة احادية المثيل N - monommethyl
وتضم العديد من المبيدات منها Carbaryl و Methomyl, Ficam, Temik Carbofuran, Zectran
۲) مجموعة ثنائية المثيل N-dimethyl
ومنها مبيدات Dimetilan, Isolan وال Pirimicarb
ميكانيكية التأثير السام لمبيدات الكارباميت
تشترك جميع المبيدات التابعة لهذه المجموعة بميكانيكية واحدة هو تثبيطها لأنزيم (Acetylcholinesterase (AchE في الجهاز العصبي اضافة الى دورها في تثبيط انزيمات اخرى تابعة الى الـ esterases. ان كريمة الأنزيم Carbamylation يكون عادة غير مستقر لذلك فان استعادة نشاط انزيم AchE يكون أسرع مما هو الحال مع مركبات الفسفور العضوية ومن هنا فان مبيدات الكارباميت هي اقل خطورة عند تعرض الانسان لها عن مبيدات الفسفور العضوية. وبصورة عامة يمكن تمثيل ميكانيكية تثبيط انزيم ال AchE بفعل مبيدات الكارباميت كالاتي:
حيث ان :-
K1 = النسبة الثابتة لتكوين المعقد
K -1= النسبة الثابتة لكسر المعقد
Kc = النسبة الثابتة كريمة الأنزيم
kr= النسبة الثابتة لتحلل كريمة الانزيم
ان معدل اعادة نشاط انزيم AChE في الخطوة kr يعتبر نسبيا أسرع بكثير من الانزيم المفسفر Phosphorylated من قبل مركبات الفسفور العضوية هنا يصعب كثيرا تحديد درجة تثبيط مركبات الكارباميت للـ Blood - ChEs نتيجة عدم ثبات كريمة الأنزيم Carbamylated enzyme لفترة طويلة.
میتابولزم مبيدات الكارباميت
تشترك جميع مبيدات الكارباميت بنفس خطوات عمليات الميتابولزم في النباتات والحشرات واللبائن والتي تتضمن عمليتين اساسيتين وتعتمد كلتا العمليتين على كسر اصرة الاستر من قبل انزيمات الـ esterase او الاكسدة بفعل انزيمات Mixed - Function Oxidases (MFO. يتبع ذلك حدوث تحلل مائي لنواتج التفاعل الوسطي وكما في المعادلات الآتية:
امثلة لبعض المبيدات الحشرية الكارباماتية
۱) مبيد الـ Sevin ) Carbaryl ) التركيب الكيمياوي
يتم تحضيره من الـ naphthol - & وكما في المعادلات الآتية: -
أن ناتج التفاعل عبارة عن بلورات بيضاء عديمة الرائحة، درجة انصهارها عند درجة حرارة ١٤٢ °م، ضعيفة الذوبان في الماء بينما تذوب بشكل جيد بالمذيبات العضوية. لا يتحلل مائياً تحت الظروف الاعتيادية ولا يتأثر بالضوء أو الحرارة حتى درجة 79°م ولو زادت عن ذلك فأنه يتحلل. كذلك عند تعرضه لوسط قلوي (PH lo) الى نواتج غير سامة.
مبيد يؤثر بالملامسة وله مدى واسع في مكافحة ما يقرب من 150 نوعاً من الحشرات الاقتصادية ولكنه غير فعال في مكافحة الذبابة المنزلية وبعض أنواع المن والحلم. له بعض الخواص الجهازية البسيطة. متبقياته لا تمكث طويلاً في البيئة.
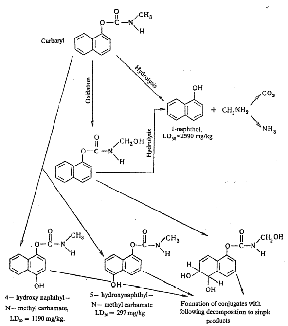
میتابولزم مبيد السيفين Sevin
أن الطريقة الرئيسة لتحطيم مركب السيفين في اللبائن هو تحويله إلى1- naphthol وطرحه البول. كما قد يتم تحويل جزء من المركب في الكبد الى مركبات تحوي على مجاميع هيدروكسيل مختلفة على الحلقة الكارباماتية. وبالرغم من سمية هذه المركبات تحتفظ بسميتها لقابليتها على تثبيط الأنزيم الا أن نفاذها خلال الخلايا يكون بطيئاً ويسهل التخلص منها لذوبانها العالي في الماء. وفي الذباب المنزلي والذي يعد غير حساس لهذا المركب فقد وجدت ستة مركبات نتجت عن تحلل السيفين ثلاثة منها ذائبة في الماء وتمثل نواتج تحلل السيفن. والمخطط الآتي يوضح ميتابولزم مبيد السيفن: -
2) مبيد ال (Pirimor) nirimicarb
تحضيره:- يتم تحضير هذا المركب من تفاعل
والمركب النقي الناتج عديم اللون والرائحة، ينصهر عند درجة حرارة 90,5 م ضعيف الذوبان بالماء ولكنه يذوب في المذيبات العضوية، وهو مبيد جهازي يؤثر بالملامسة ويستخدم لمكافحة الحشرات ذات أجزاء الفم الثاقبة الماصة وخاصة حشرات المن. كما يستخدم لمكافحة الحشرات التي اكتسبت صفة المقاومة لمركبات الفسفور العضوية. ومن مميزاته أيضاً أنه لا يؤدي الى حرق أوراق النباتات المعاملة به.
3) مبيد الفيكام Ficam
ويباع تجارياً تحت اسماء مختلفة منهاMultamat ، Gacvox ، Ficam D، . Tatto
المادة النقية بلورية بيضاء صلبة، تنصهر عند درجة حرارة ۱٢٨ - ۱۳۰ °م قليلة الذوبان في الماء وتذوب في المذيبات العضوية، وهو من المبيدات متوسطة السمية قيمة الـ LD50 عن طريق الفم للجرذان 143 ملغم / كغم. يستخدم لمكافحة الصراصير، والنمل، وخنافس السجاد والبراغيث والقراد وهو عديم الرائحة مما يشجع على استخدامه في المنازل والمؤسسات العامة. في العراق أظهرت الدراسات أن لهذا المبيد فاعلية جيدة في مكافحة قراد الطيور وحماية التقاوي من الاصابة بحشرات المخازن.
الاكثر قراءة في المبيدات الزراعية
اخر الاخبار
اخبار العتبة العباسية المقدسة

الآخبار الصحية
