النظرية الكهرومغناطيسية الكلاسيكية
المؤلف:
الدكتور محمد انور بطل
المصدر:
الفيزياء الذرية والجزيئية
الجزء والصفحة:
ص 205
10-2-2022
2403
النظرية الكهرومغناطيسية الكلاسيكية
يمكن أعتبار الإشعاع كتدفق طاقة خاصة وهذا خاضع لعلاقات ماكسويل. وفي هذا يكون لدينا حقل سلمي p عبارة عن كثافة شحن كهربائية في وحدات كهربائية ساكنة وليكن I شعاع الحقل كثافة التيار في واحدات كهربائية ساكنة يرتبط الحقلان بالعلاقة التالية:

وكذلك:



فإذا استخدمنا الكمون السلمي φ وشعاع الكمون A واللذان يحققان العلاقات التالية:
............(1)
يمكن ايجاد
, H من العلاقات (1):

والحل للكمون السلمي يكتب بالشكل :


هي المسافة بين عنصر الحجم dx dy dz والنقطة 'x' y' z . وهذا معروف بكمون التأخير.
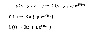
لتطوير النظرية الكلاسيكية للإشعاع بشكليه مناسبه لإستخدام النظرية الكوانتيه يجب نشر علاقة كمون التأخير وذلك بفرض أن p و I يتغيرا بصورة توافقيه مع الزمن. أي بعد اعتبار

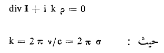
حيث I شعاع ثنائي ( ذو شكل Ir + iIi) يمكن إذاً كتابة معادلة الإستمرار بالشكل:

الاكثر قراءة في الفيزياء الذرية
اخر الاخبار
اخبار العتبة العباسية المقدسة