العزم المغناطيسي للبروتون
المؤلف:
الدكتور محمد انور بطل
المصدر:
الفيزياء الذرية والجزيئية
الجزء والصفحة:
ص 178
7-2-2022
2144
العزم المغناطيسي للبروتون
إن جزيء الهيدروجين المشكل من ذرتين من الهيدروجين أي من الكترونين وبروتونين ، له عزم مغناطيسي ، ينتج عن تركيب العزوم المغناطيسية المدارية للالكترونين والعزوم المغناطيسية السبينية للإلكترونين ومن العزوم المغناطيسية للبروتونين. إذاً يمكن لجزيء الهيدروجين أن ينوجد تحت شكلين حيث العزوم النووية للبروتونات تضاف إلى بعضها وحالة Parahydrogene حيث العزوم النووية للبروتونات تطرح من بعضها البعض أي واحد يعاكس الثاني . هناك طرق قائمة على خواص التوازن الترموديناميكي يمكنها أن تفصلهما عن بعضهما البعض Stern Frisch ،Esterman أعادوا تجربة Stern و Gerlach مع orthohydra و Parahydrogene بصورة متعاقبة والفرق في النتائج ربط مباشرة بالعزوم الحركية والمغناطيسية للبروتونات والفرضيتان التاليتان سمحتا بتفسير مترابط للتجارب:
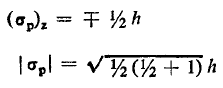
- يملك البروتون عزم حركي σp موصوف بالعدد الكمي السبيني 1/2 ، هذا العزم الحركي يتبع القواعد العامة للكنتمة :
المركبة على المحور oz:

- يملك البروتون عزم مغناطيسي μp له نفس حامل ونفس اتجاه عزمه الحركي σp. نسبته الجيرومغناطيسية موجبة على عكس النسبة في الإلكترون ( سالب ) و2.792775βN أو بصورة أدق :

e شحنة البروتون ، M كتلة البروتون .
بأدخال المغنيتون النووي βN حيث:

القيمة 2.79 تطابق لقياسات دقيقة تمت بواسطة هذه الطريقة في عام (1537) .
الاكثر قراءة في الفيزياء الذرية
اخر الاخبار
اخبار العتبة العباسية المقدسة